ОТВЕТ на задание № 841 Учебник по Алгебре 8 класс Мерзляк Алгоритм успеха
Решебник №1
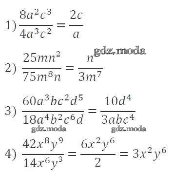
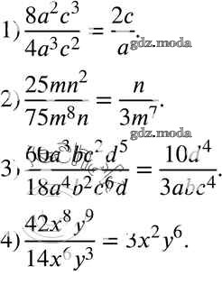
упражнение для повторения / 841

Решебник №2
упражнение для повторения / 841

Решебник №4
упражнение для повторения / 841

Решебник №6
упражнение для повторения / 841

Все ГДЗ по Алгебре 8 класс Алгоритм успеха