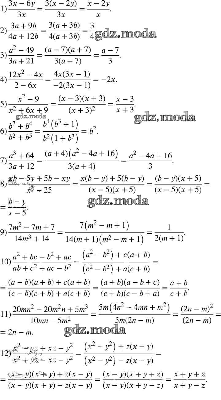
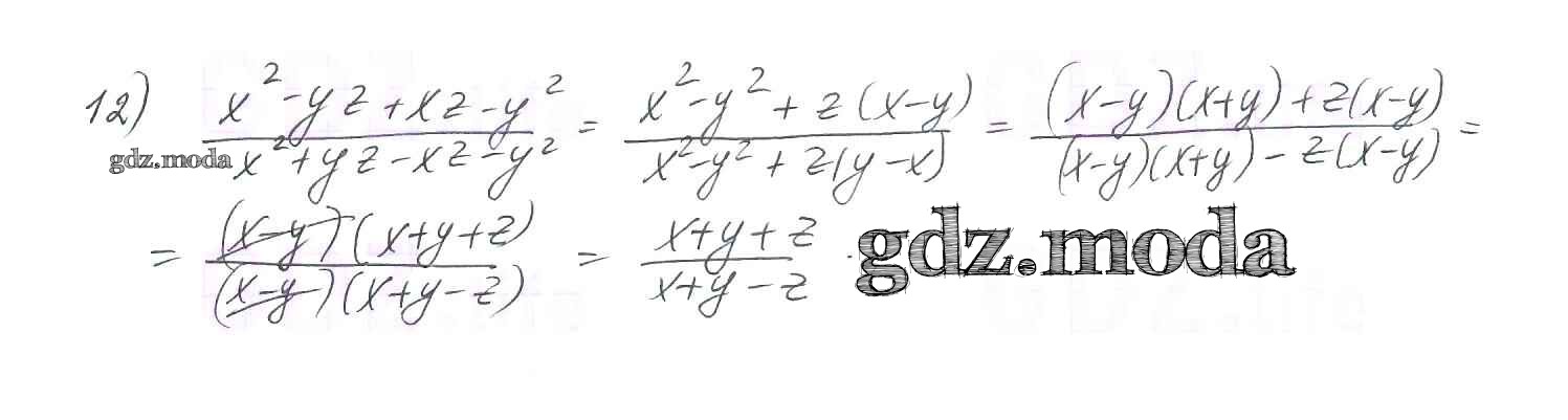
ОТВЕТ на задание № 843 Учебник по Алгебре 8 класс Мерзляк Алгоритм успеха
Решебник №1
упражнение для повторения / 843

Решебник №2
упражнение для повторения / 843

Решебник №4
упражнение для повторения / 843


Решебник №6
упражнение для повторения / 843


Все ГДЗ по Алгебре 8 класс Алгоритм успеха