ОТВЕТ на задание № 850 Учебник по Алгебре 8 класс Мерзляк Алгоритм успеха
Решебник №1
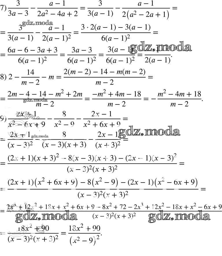
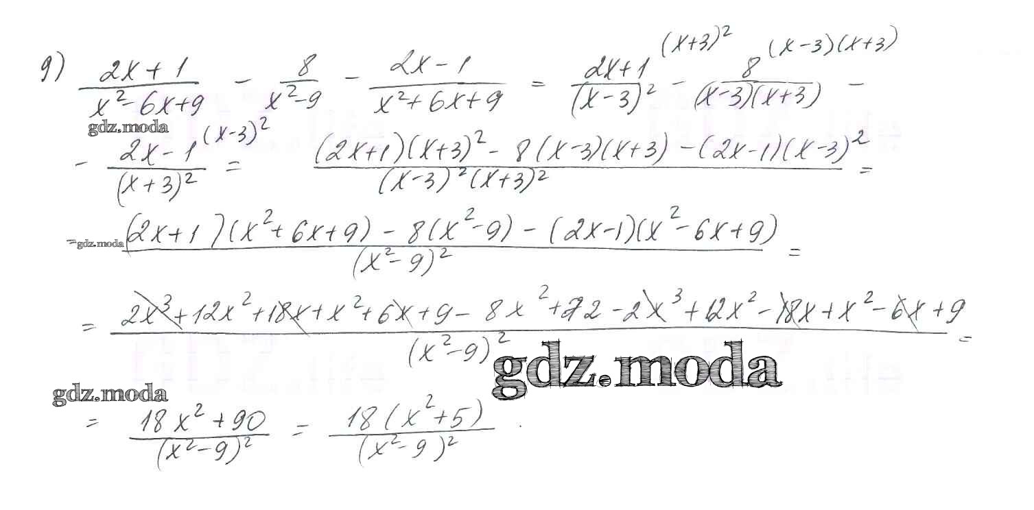
упражнение для повторения / 850

Решебник №2
упражнение для повторения / 850


Решебник №4
упражнение для повторения / 850


Решебник №6
упражнение для повторения / 850



Все ГДЗ по Алгебре 8 класс Алгоритм успеха