ОТВЕТ на задание № 856 Учебник по Алгебре 8 класс Мерзляк Алгоритм успеха
Решебник №1
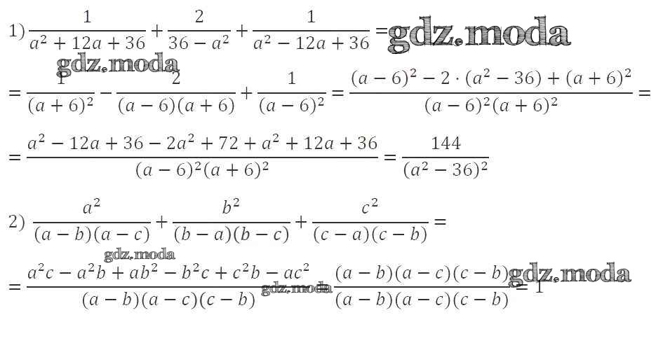
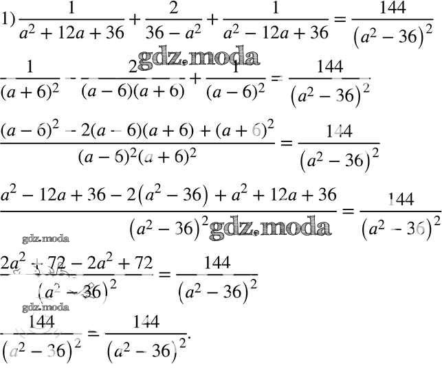
упражнение для повторения / 856

Решебник №2
упражнение для повторения / 856


Решебник №4
упражнение для повторения / 856

Решебник №6
упражнение для повторения / 856


Все ГДЗ по Алгебре 8 класс Алгоритм успеха