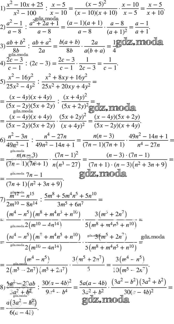
ОТВЕТ на задание № 862 Учебник по Алгебре 8 класс Мерзляк Алгоритм успеха
Решебник №1
упражнение для повторения / 862

Решебник №2
упражнение для повторения / 862

Решебник №4
упражнение для повторения / 862

Решебник №6
упражнение для повторения / 862


Все ГДЗ по Алгебре 8 класс Алгоритм успеха