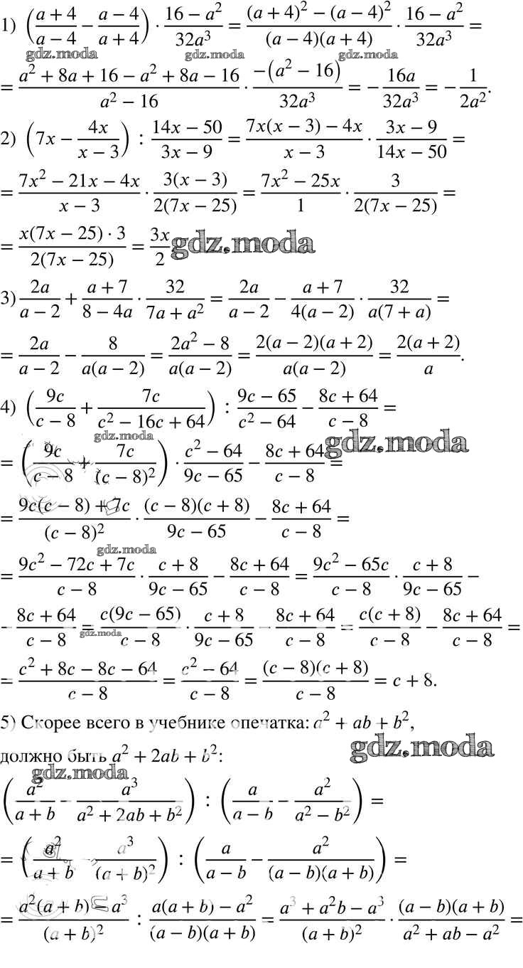
ОТВЕТ на задание № 867 Учебник по Алгебре 8 класс Мерзляк Алгоритм успеха
Решебник №1
упражнение для повторения / 867

Решебник №2
упражнение для повторения / 867


Решебник №4
упражнение для повторения / 867


Решебник №6
упражнение для повторения / 867



Все ГДЗ по Алгебре 8 класс Алгоритм успеха