ОТВЕТ на задание № 880 Учебник по Алгебре 8 класс Мерзляк Алгоритм успеха
Решебник №1
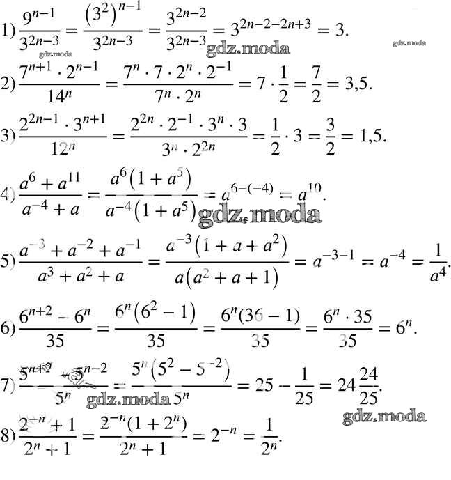
упражнение для повторения / 880

Решебник №2
упражнение для повторения / 880

Решебник №4
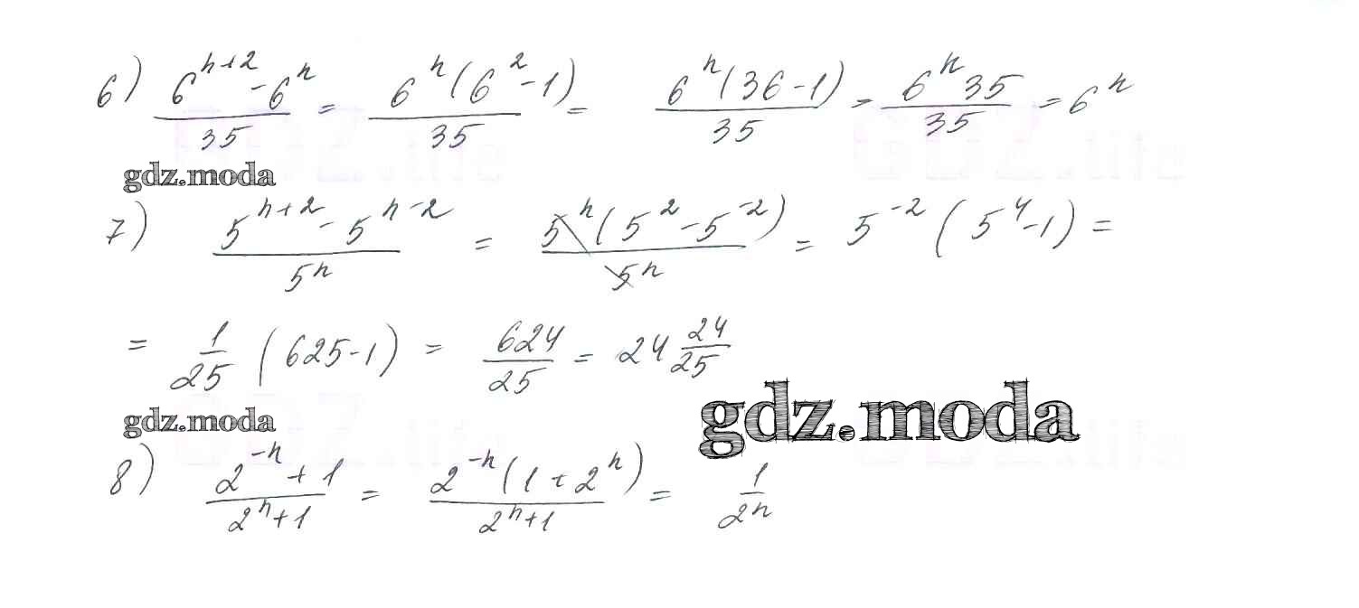
упражнение для повторения / 880

Решебник №6
упражнение для повторения / 880


Все ГДЗ по Алгебре 8 класс Алгоритм успеха