ОТВЕТ на задание № 897 Учебник по Алгебре 8 класс Мерзляк Алгоритм успеха
Решебник №1
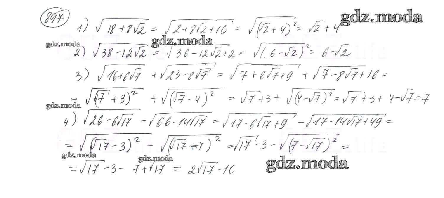
упражнение для повторения / 897

Решебник №2
упражнение для повторения / 897

Решебник №4
упражнение для повторения / 897

Решебник №6
упражнение для повторения / 897


Все ГДЗ по Алгебре 8 класс Алгоритм успеха