ОТВЕТ на задание № 903 Учебник по Алгебре 8 класс Мерзляк Алгоритм успеха
Решебник №1
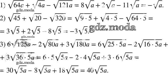
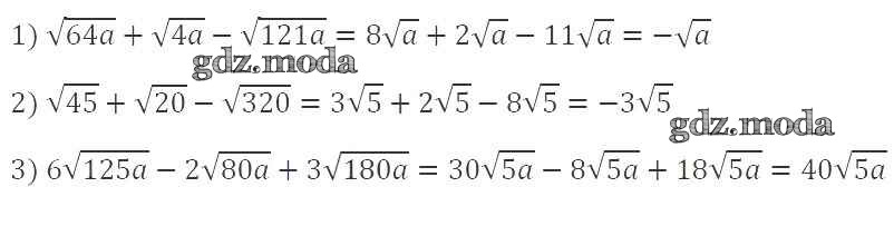
упражнение для повторения / 903

Решебник №2
упражнение для повторения / 903

Решебник №4
упражнение для повторения / 903

Решебник №6
упражнение для повторения / 903

Все ГДЗ по Алгебре 8 класс Алгоритм успеха