ОТВЕТ на задание № 906 Учебник по Алгебре 8 класс Мерзляк Алгоритм успеха
Решебник №1
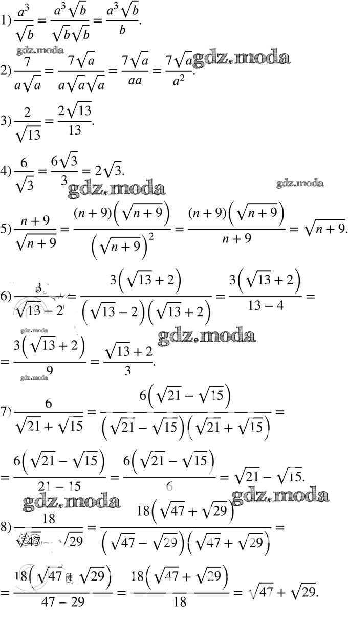
упражнение для повторения / 906

Решебник №2
упражнение для повторения / 906

Решебник №4
упражнение для повторения / 906

Решебник №6
упражнение для повторения / 906

Все ГДЗ по Алгебре 8 класс Алгоритм успеха