ОТВЕТ на задание № 920 Учебник по Алгебре 8 класс Мерзляк Алгоритм успеха
Решебник №1
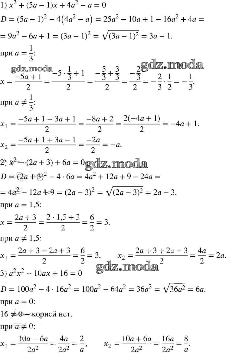
упражнение для повторения / 920

Решебник №2
упражнение для повторения / 920

Решебник №4
упражнение для повторения / 920


Решебник №6
упражнение для повторения / 920


Все ГДЗ по Алгебре 8 класс Алгоритм успеха