ОТВЕТ на задание № 930 Учебник по Алгебре 8 класс Мерзляк Алгоритм успеха
Решебник №1
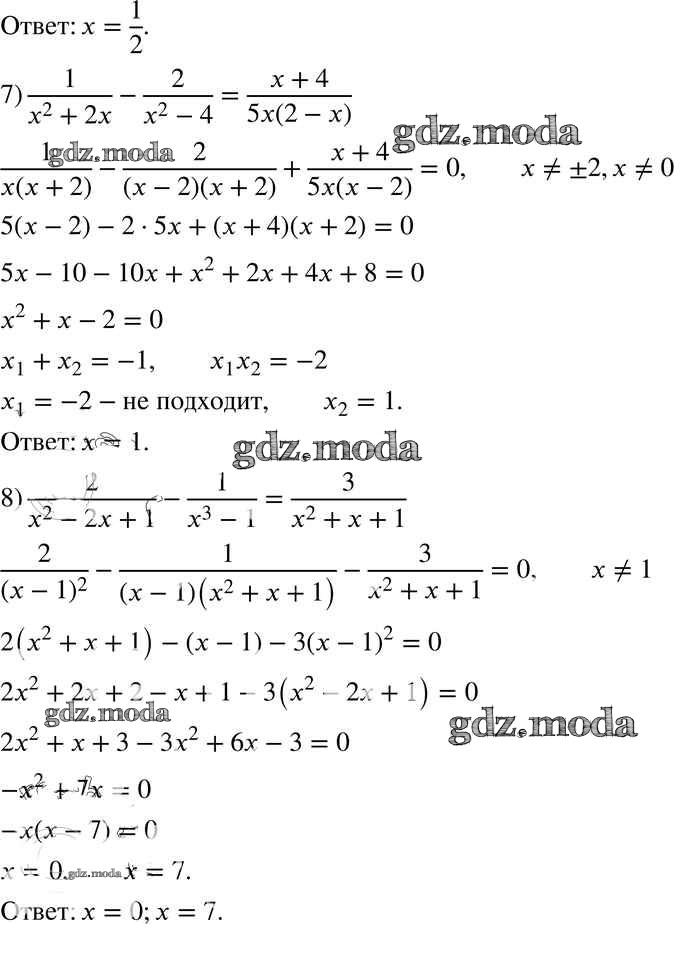
упражнение для повторения / 930

Решебник №2
упражнение для повторения / 930



Решебник №4
упражнение для повторения / 930


Решебник №6
упражнение для повторения / 930



Все ГДЗ по Алгебре 8 класс Алгоритм успеха