ОТВЕТ на задание № 241 Учебник по Алгебре 8 класс Никольский МГУ - школе
Решебник
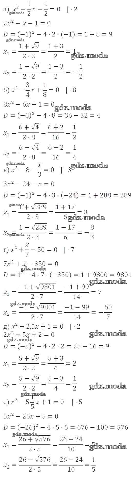
глава 2 / 241
Решебник №2
глава 2 / 241
Решебник №3
глава 2 / 241
Все ГДЗ по Алгебре 8 класс МГУ - школе