ОТВЕТ на задание № 360 Учебник по Алгебре 8 класс Никольский МГУ - школе
Решебник
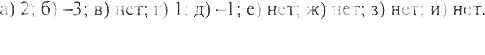
глава 3 / 360
Решебник №2
глава 3 / 360
Решебник №3
глава 3 / 360
Все ГДЗ по Алгебре 8 класс МГУ - школе