Классы
1 класс
2 класс
3 класс
4 класс
5 класс
6 класс
7 класс
8 класс
9 класс
10 класс
11 класс
Предметы
Алгебра
Английский язык
Белорусский язык
Биология
География
Геометрия
Естествознание
Информатика
Искусство
История
Кубановедение
Литература
Математика
Музыка
Немецкий язык
ОБЖ
Обществознание
Окружающий мир
Основы здоровья
Природоведение
Русский язык
Технология
Украинский язык
Физика
Французский язык
Химия
Человек и мир
Я исследую мир
ГДЗ
8 класс
Алгебра
Никольский
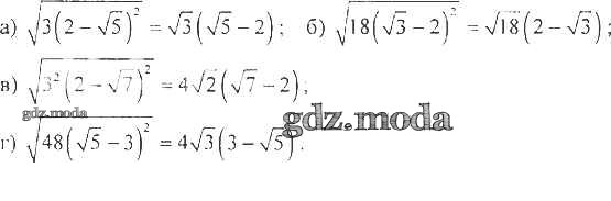
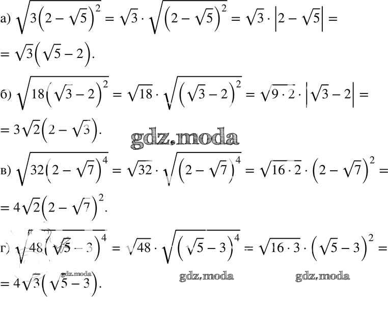
639
ОТВЕТ на задание № 639 Учебник по Алгебре 8 класс Никольский МГУ - школе
Показать содержание
← Предыдущее
Следующее →
Решебник
повторение / 639
Решебник №2
повторение / 639
Решебник №3
повторение / 639
Показать содержание
← Предыдущее
Следующее →
Все ГДЗ по
Алгебре 8 класс МГУ - школе
ГДЗ решение к заданию № 639 Алгебра 8 класс Никольский С.М. Просвещение 2014 ФГОС бесплатно на гдз.мода!