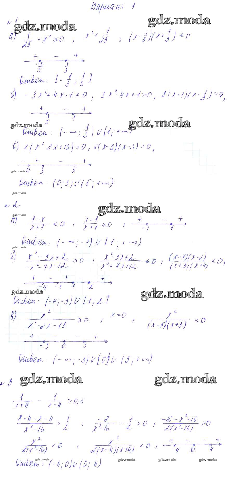
ОТВЕТ на задание № Вариант-1 Дидактические материалы по Алгебре 8 класс Зив
Решебник
самостоятельная работа / ср №17 / вариант-1
ГДЗ решение к заданию № Вариант-1 Алгебра 8 класс Дидактические материалы Зив Б.Г. Виктория плюс 2012 ФГОС бесплатно на гдз.мода!