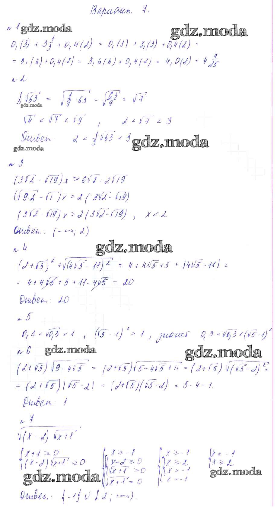
ОТВЕТ на задание № Вариант-7 Дидактические материалы по Алгебре 8 класс Зив
Решебник
самостоятельная работа / ср №6 / вариант-7
ГДЗ решение к заданию № Вариант-7 Алгебра 8 класс Дидактические материалы Зив Б.Г. Виктория плюс 2012 ФГОС бесплатно на гдз.мода!