Классы
1 класс
2 класс
3 класс
4 класс
5 класс
6 класс
7 класс
8 класс
9 класс
10 класс
11 класс
Предметы
Алгебра
Английский язык
Белорусский язык
Биология
География
Геометрия
Естествознание
Информатика
Искусство
История
Кубановедение
Литература
Математика
Музыка
Немецкий язык
ОБЖ
Обществознание
Окружающий мир
Основы здоровья
Природоведение
Русский язык
Технология
Украинский язык
Физика
Французский язык
Химия
Человек и мир
Я исследую мир
ГДЗ
8 класс
Алгебра
дидактические материалы Звавич
8
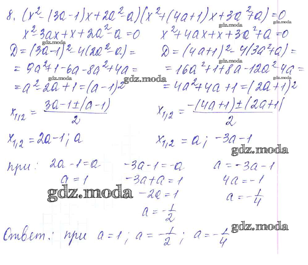
ОТВЕТ на задание № 8 Дидактические материалы по Алгебре 8 класс Звавич УМК
Показать содержание
← Предыдущее
Следующее →
Решебник
приложение / упражнение / вариант 2 / 8
Показать содержание
← Предыдущее
Следующее →
Все ГДЗ по
Алгебре 8 класс УМК
ГДЗ решение к заданию № 8 Алгебра 8 класс Дидактические материалы Звавич Л.И. (к уч. Макарычева) Экзамен 2015 ФГОС бесплатно на гдз.мода!