Классы
1 класс
2 класс
3 класс
4 класс
5 класс
6 класс
7 класс
8 класс
9 класс
10 класс
11 класс
Предметы
Алгебра
Английский язык
Белорусский язык
Биология
География
Геометрия
Естествознание
Информатика
Искусство
История
Кубановедение
Литература
Математика
Музыка
Немецкий язык
ОБЖ
Обществознание
Окружающий мир
Основы здоровья
Природоведение
Русский язык
Технология
Украинский язык
Физика
Французский язык
Химия
Человек и мир
Я исследую мир
ГДЗ
8 класс
Физика
Громов учебник
8
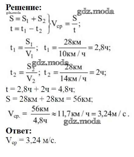
ОТВЕТ на задание № 8 Учебник по Физике 8 класс Громов
Показать содержание
← Предыдущее
Следующее →
Решебник 1
задание / 8
Решебник 2
задание / 8
Показать содержание
← Предыдущее
Следующее →
ГДЗ решение к заданию № 8 Физика 8 класс Громов С.В. Просвещение 2018 ФГОС бесплатно на гдз.мода!