Классы
1 класс
2 класс
3 класс
4 класс
5 класс
6 класс
7 класс
8 класс
9 класс
10 класс
11 класс
Предметы
Алгебра
Английский язык
Белорусский язык
Биология
География
Геометрия
Естествознание
Информатика
Искусство
История
Кубановедение
Литература
Математика
Музыка
Немецкий язык
ОБЖ
Обществознание
Окружающий мир
Основы здоровья
Природоведение
Русский язык
Технология
Украинский язык
Физика
Французский язык
Химия
Человек и мир
Я исследую мир
ГДЗ
8 класс
Физика
рабочая тетрадь Касьянов
119
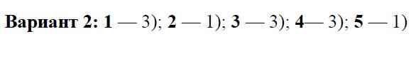
ОТВЕТ на задание № 119 Рабочая тетрадь по Физике 8 класс Касьянов Вертикаль
Показать содержание
← Предыдущее
Следующее →
Решебник 1
страница / 119
Решебник 2
страница / 119
Показать содержание
← Предыдущее
Следующее →
Все ГДЗ по
Физике 8 класс Вертикаль
ГДЗ решение к заданию № 119 Физика 8 класс рабочая тетрадь Касьянов В.А. (к уч. Перышкина) Дрофа 2017 ФГОС бесплатно на гдз.мода!