Классы
1 класс
2 класс
3 класс
4 класс
5 класс
6 класс
7 класс
8 класс
9 класс
10 класс
11 класс
Предметы
Алгебра
Английский язык
Белорусский язык
Биология
География
Геометрия
Естествознание
Информатика
Искусство
История
Кубановедение
Литература
Математика
Музыка
Немецкий язык
ОБЖ
Обществознание
Окружающий мир
Основы здоровья
Природоведение
Русский язык
Технология
Украинский язык
Физика
Французский язык
Химия
Человек и мир
Я исследую мир
ГДЗ
8 класс
Физика
Пурышева учебник
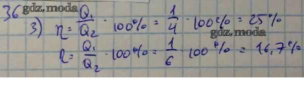
№ 36
ОТВЕТ на задание № № 36 Учебник по Физике 8 класс Пурышева Вертикаль
Показать содержание
← Предыдущее
Следующее →
Решебник
задание / № 36
Решебник 2
задание / № 36
Показать содержание
← Предыдущее
Следующее →
Все ГДЗ по
Физике 8 класс Вертикаль
ГДЗ решение к заданию № № 36 Физика 8 класс Пурышева Н.С. Дрофа 2017 ФГОС бесплатно на гдз.мода!