Классы
1 класс
2 класс
3 класс
4 класс
5 класс
6 класс
7 класс
8 класс
9 класс
10 класс
11 класс
Предметы
Алгебра
Английский язык
Белорусский язык
Биология
География
Геометрия
Естествознание
Информатика
Искусство
История
Кубановедение
Литература
Математика
Музыка
Немецкий язык
ОБЖ
Обществознание
Окружающий мир
Основы здоровья
Природоведение
Русский язык
Технология
Украинский язык
Физика
Французский язык
Химия
Человек и мир
Я исследую мир
ГДЗ
8 класс
Физика
тетрадь-тренажер Артеменков
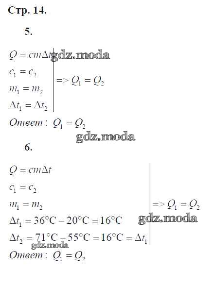
14
ОТВЕТ на задание № 14 Тетрадь-тренажер по Физике 8 класс Артеменков Сферы
Показать содержание
← Предыдущее
Следующее →
Решебник
страница / 14
Показать содержание
← Предыдущее
Следующее →
Все ГДЗ по
Физике 8 класс Сферы
ГДЗ решение к заданию № 14 Физика 8 класс тетрадь-тренажер Артеменков Д.А. Просвещение 2012 ФГОС бесплатно на гдз.мода!