Классы
1 класс
2 класс
3 класс
4 класс
5 класс
6 класс
7 класс
8 класс
9 класс
10 класс
11 класс
Предметы
Алгебра
Английский язык
Белорусский язык
Биология
География
Геометрия
Естествознание
Информатика
Искусство
История
Кубановедение
Литература
Математика
Музыка
Немецкий язык
ОБЖ
Обществознание
Окружающий мир
Основы здоровья
Природоведение
Русский язык
Технология
Украинский язык
Физика
Французский язык
Химия
Человек и мир
Я исследую мир
ГДЗ
8 класс
Геометрия
дидактические материалы Мерзляк
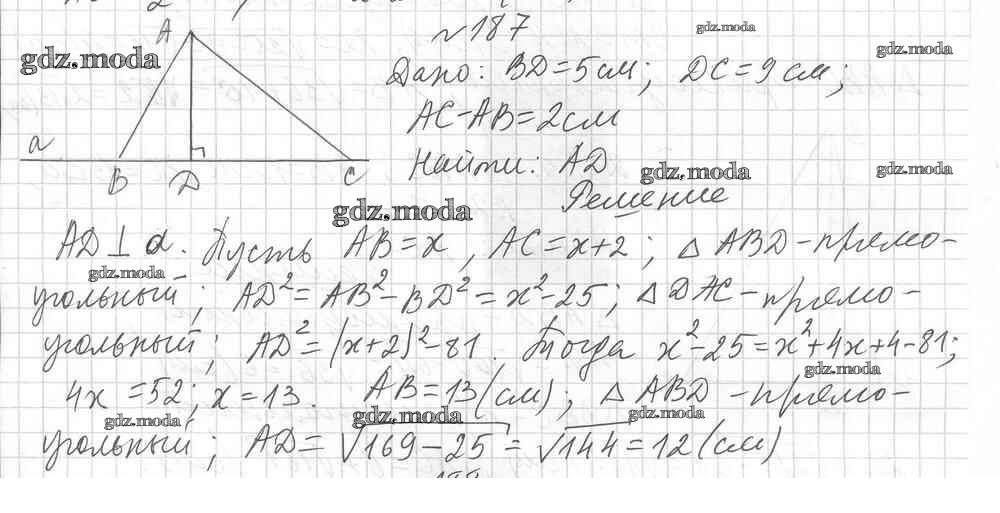
187
ОТВЕТ на задание № 187 Дидактические материалы по Геометрии 8 класс Мерзляк Алгоритм успеха
Показать содержание
← Предыдущее
Следующее →
Решебник
упражнения / вариант 1 / 187
Показать содержание
← Предыдущее
Следующее →
Все ГДЗ по
Геометрии 8 класс Алгоритм успеха
ГДЗ решение к заданию № 187 Геометрия 8 класс Дидактические материалы Мерзляк А.Г. Вентана-граф 2017 ФГОС бесплатно на гдз.мода!