Классы
1 класс
2 класс
3 класс
4 класс
5 класс
6 класс
7 класс
8 класс
9 класс
10 класс
11 класс
Предметы
Алгебра
Английский язык
Белорусский язык
Биология
География
Геометрия
Естествознание
Информатика
Искусство
История
Кубановедение
Литература
Математика
Музыка
Немецкий язык
ОБЖ
Обществознание
Окружающий мир
Основы здоровья
Природоведение
Русский язык
Технология
Украинский язык
Физика
Французский язык
Химия
Человек и мир
Я исследую мир
ГДЗ
8 класс
Геометрия
Казаков
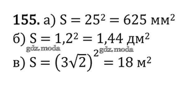
155
ОТВЕТ на задание № 155 Учебник по Геометрии 8 класс Казаков
Показать содержание
← Предыдущее
Следующее →
Решебник
задача / 155
Показать содержание
← Предыдущее
Следующее →
ГДЗ решение к заданию № 155 Геометрия 8 класс Казаков В.В. Народная асвета 2018 бесплатно на гдз.мода!