Классы
1 класс
2 класс
3 класс
4 класс
5 класс
6 класс
7 класс
8 класс
9 класс
10 класс
11 класс
Предметы
Алгебра
Английский язык
Белорусский язык
Биология
География
Геометрия
Естествознание
Информатика
Искусство
История
Кубановедение
Литература
Математика
Музыка
Немецкий язык
ОБЖ
Обществознание
Окружающий мир
Основы здоровья
Природоведение
Русский язык
Технология
Украинский язык
Физика
Французский язык
Химия
Человек и мир
Я исследую мир
ГДЗ
8 класс
Геометрия
Казаков
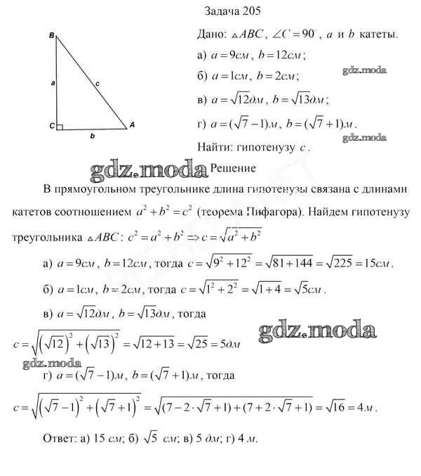
205
ОТВЕТ на задание № 205 Учебник по Геометрии 8 класс Казаков
Показать содержание
← Предыдущее
Следующее →
Решебник
задача / 205
Показать содержание
← Предыдущее
Следующее →
ГДЗ решение к заданию № 205 Геометрия 8 класс Казаков В.В. Народная асвета 2018 бесплатно на гдз.мода!