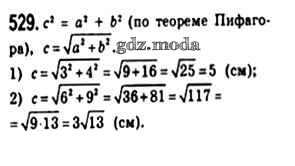
ОТВЕТ на задание № 529 Учебник по Геометрии 8 класс Мерзляк Алгоритм успеха
Решебник №1
глава 3 / § 16 / 529
                                Решебник №2
глава 3 / § 16 / 529
                                Все ГДЗ по Геометрии 8 класс Алгоритм успеха