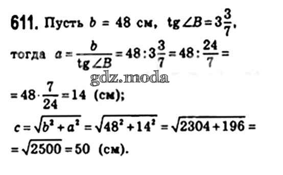
ОТВЕТ на задание № 611 Учебник по Геометрии 8 класс Мерзляк Алгоритм успеха
Решебник №1
глава 3 / § 18 / 611
                                Решебник №2
глава 3 / § 18 / 611
                                Все ГДЗ по Геометрии 8 класс Алгоритм успеха