ОТВЕТ на задание № 636 Учебник по Геометрии 8 класс Мерзляк Алгоритм успеха
Решебник №1
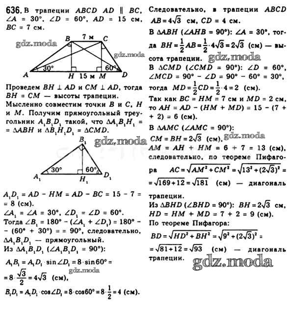
глава 3 / § 18 / 636
                                Решебник №2
глава 3 / § 18 / 636
                                Все ГДЗ по Геометрии 8 класс Алгоритм успеха