Классы
1 класс
2 класс
3 класс
4 класс
5 класс
6 класс
7 класс
8 класс
9 класс
10 класс
11 класс
Предметы
Алгебра
Английский язык
Белорусский язык
Биология
География
Геометрия
Естествознание
Информатика
Искусство
История
Кубановедение
Литература
Математика
Музыка
Немецкий язык
ОБЖ
Обществознание
Окружающий мир
Основы здоровья
Природоведение
Русский язык
Технология
Украинский язык
Физика
Французский язык
Химия
Человек и мир
Я исследую мир
ГДЗ
8 класс
Химия
рабочая тетрадь Габрусева
9
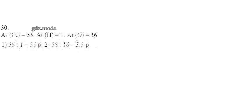
ОТВЕТ на задание № 9 Рабочая тетрадь по Химии 8 класс Габрусева УМК
Показать содержание
← Предыдущее
Следующее →
Решебник
страница / 9
Решебник 2
страница / 9
Показать содержание
← Предыдущее
Следующее →
Все ГДЗ по
Химии 8 класс УМК
ГДЗ решение к заданию № 9 Химия 8 класс рабочая тетрадь Габрусева Н.И. Просвещение 2017 ФГОС бесплатно на гдз.мода!