Классы
1 класс
2 класс
3 класс
4 класс
5 класс
6 класс
7 класс
8 класс
9 класс
10 класс
11 класс
Предметы
Алгебра
Английский язык
Белорусский язык
Биология
География
Геометрия
Естествознание
Информатика
Искусство
История
Кубановедение
Литература
Математика
Музыка
Немецкий язык
ОБЖ
Обществознание
Окружающий мир
Основы здоровья
Природоведение
Русский язык
Технология
Украинский язык
Физика
Французский язык
Химия
Человек и мир
Я исследую мир
ГДЗ
8 класс
Химия
рабочая тетрадь Микитюк
104
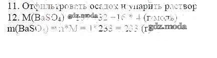
ОТВЕТ на задание № 104 Рабочая тетрадь по Химии 8 класс Микитюк УМК
Показать содержание
← Предыдущее
Следующее →
Решебник
страница / 104
Решебник 2
страница / 104
Показать содержание
← Предыдущее
Следующее →
Все ГДЗ по
Химии 8 класс УМК
ГДЗ решение к заданию № 104 Химия 8 класс рабочая тетрадь Микитюк А.Д. (к уч. Габриеляна О.С.) Экзамен 2015 ФГОС бесплатно на гдз.мода!