ОТВЕТ на задание № 2 Учебник по Химии 8 класс Габриелян Вертикаль

Решебник №1

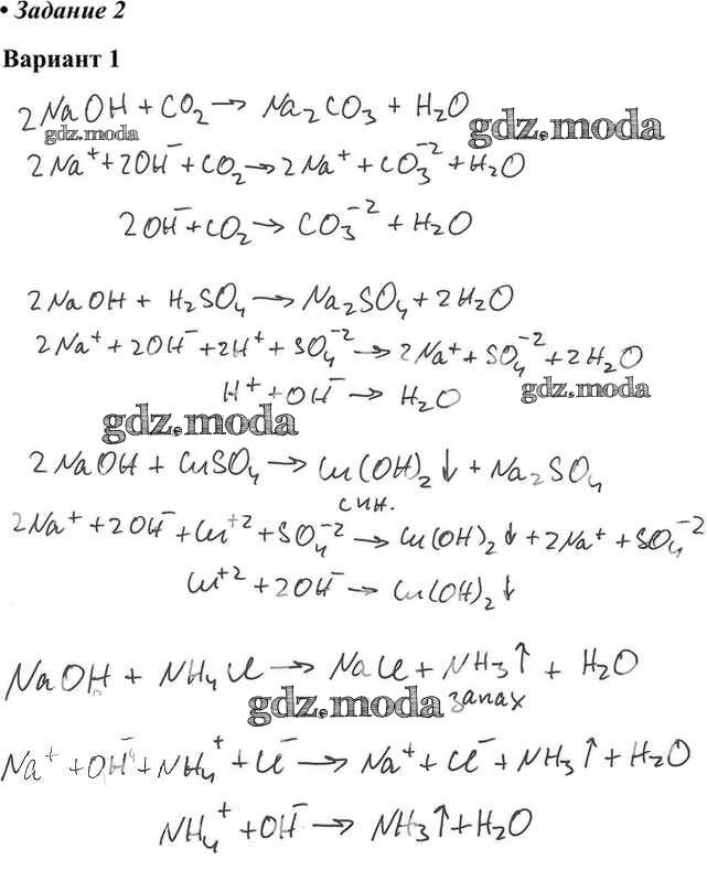
практическая работа / пр-8 / вариант 1 / 2

Решебник №2

практическая работа / пр-8 / вариант 1 / 2

Решебник №3

практическая работа / пр-8 / вариант 1 / 2

Все ГДЗ по Химии 8 класс Вертикаль

ГДЗ решение к заданию № 2 Химия 8 класс Габриелян О.С. Дрофа 2019 ФГОС бесплатно на гдз.мода!