ОТВЕТ на задание № 1 Учебник по Химии 8 класс Габриелян Вертикаль

Решебник №1

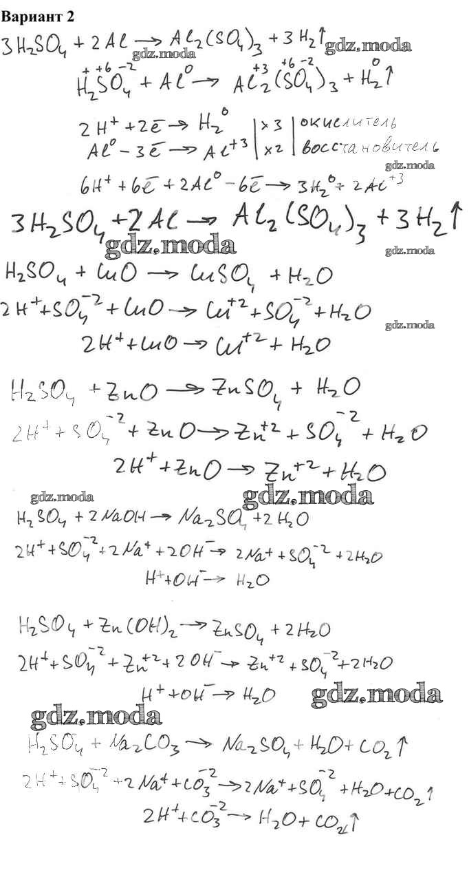
практическая работа / пр-8 / вариант 2 / 1

Решебник №2

практическая работа / пр-8 / вариант 2 / 1

Решебник №3

практическая работа / пр-8 / вариант 2 / 1

Все ГДЗ по Химии 8 класс Вертикаль

ГДЗ решение к заданию № 1 Химия 8 класс Габриелян О.С. Дрофа 2019 ФГОС бесплатно на гдз.мода!