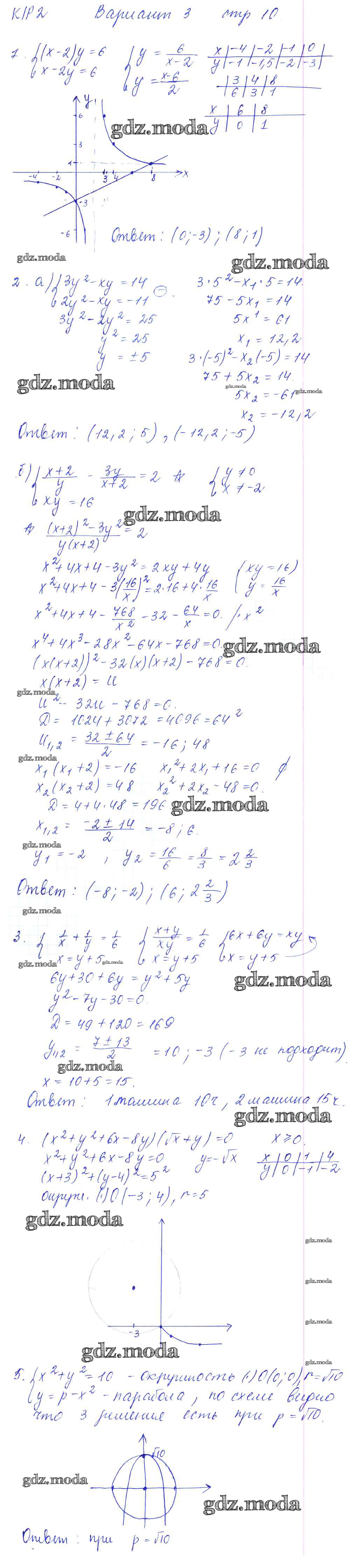
ОТВЕТ на задание № вариант №3 Контрольные работы по Алгебре 9 класс Александрова Базовый уровень

Решебник №1

кр-2 / вариант №3

Решебник №2

кр-2 / вариант №3

Решебник №3

кр-2 / вариант №3

ГДЗ решение к заданию № вариант №3 Алгебра 9 класс контрольные работы Александрова Л.А. Мнемозина 2016 Базовый уровень ФГОС бесплатно на гдз.мода!