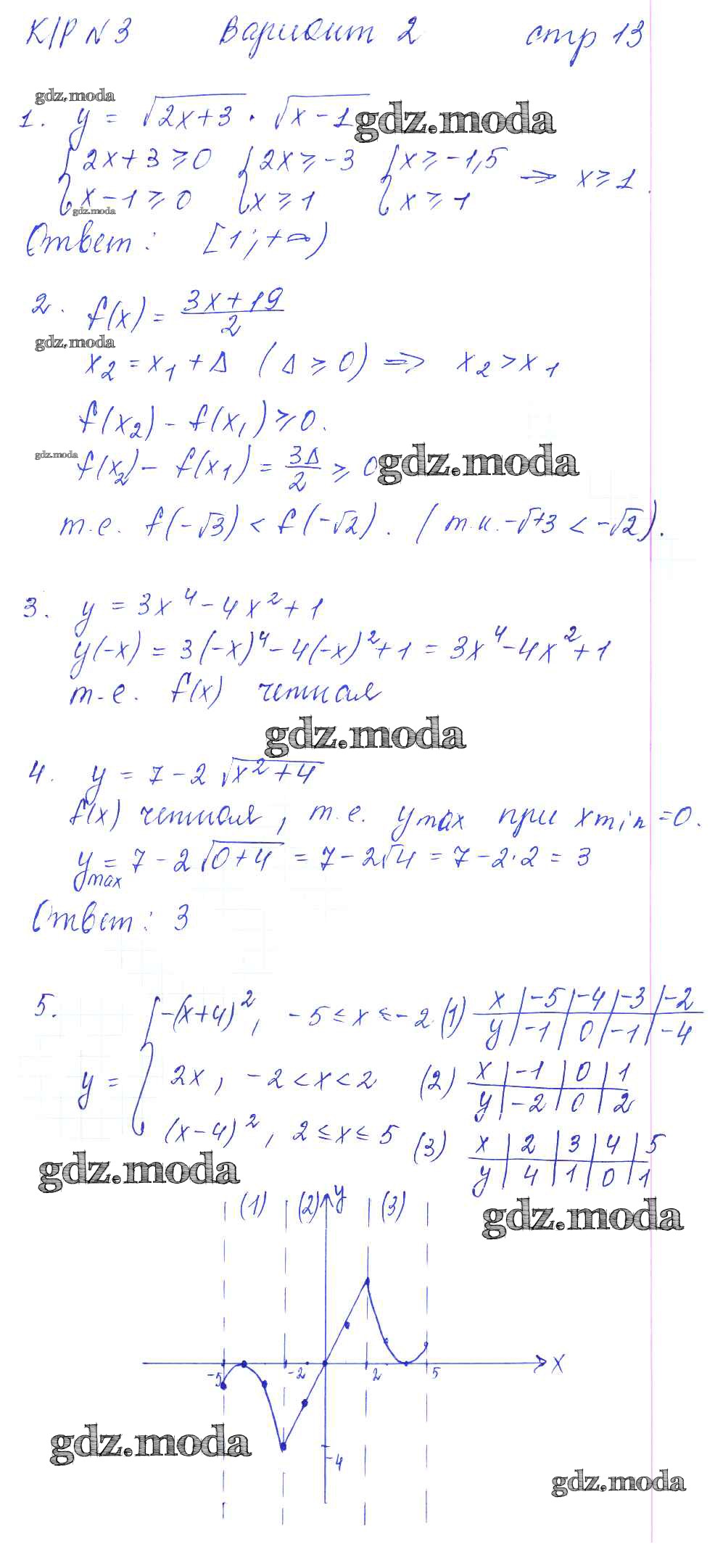
ОТВЕТ на задание № вариант №2 Контрольные работы по Алгебре 9 класс Александрова Базовый уровень

Решебник №1

кр-3 / вариант №2

Решебник №2

кр-3 / вариант №2

Решебник №3

кр-3 / вариант №2

ГДЗ решение к заданию № вариант №2 Алгебра 9 класс контрольные работы Александрова Л.А. Мнемозина 2016 Базовый уровень ФГОС бесплатно на гдз.мода!