Классы
1 класс
2 класс
3 класс
4 класс
5 класс
6 класс
7 класс
8 класс
9 класс
10 класс
11 класс
Предметы
Алгебра
Английский язык
Белорусский язык
Биология
География
Геометрия
Естествознание
Информатика
Искусство
История
Кубановедение
Литература
Математика
Музыка
Немецкий язык
ОБЖ
Обществознание
Окружающий мир
Основы здоровья
Природоведение
Русский язык
Технология
Украинский язык
Физика
Французский язык
Химия
Человек и мир
Я исследую мир
ГДЗ
9 класс
Алгебра
Арефьева
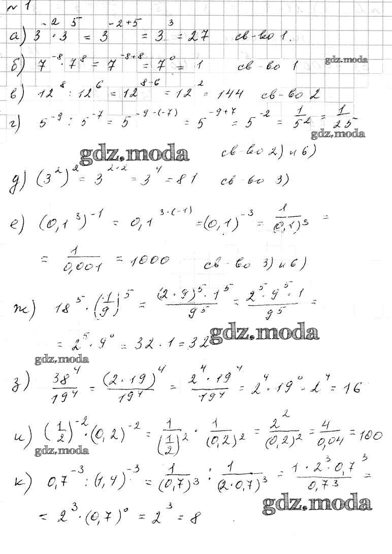
1
ОТВЕТ на задание № 1 Учебник по Алгебре 9 класс Арефьева
Показать содержание
Следующее →
Решебник
повторение / 1
Показать содержание
Следующее →
ГДЗ решение к заданию № 1 Алгебра 9 класс Арефьева И.Г. Народная асвета 2019 бесплатно на гдз.мода!