Классы
1 класс
2 класс
3 класс
4 класс
5 класс
6 класс
7 класс
8 класс
9 класс
10 класс
11 класс
Предметы
Алгебра
Английский язык
Белорусский язык
Биология
География
Геометрия
Естествознание
Информатика
Искусство
История
Кубановедение
Литература
Математика
Музыка
Немецкий язык
ОБЖ
Обществознание
Окружающий мир
Основы здоровья
Природоведение
Русский язык
Технология
Украинский язык
Физика
Французский язык
Химия
Человек и мир
Я исследую мир
ГДЗ
9 класс
Алгебра
Арефьева
224
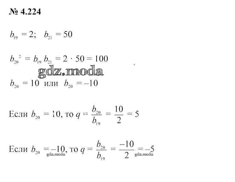
ОТВЕТ на задание № 4.224 Учебник по Алгебре 9 класс Арефьева
Показать содержание
← Предыдущее
Следующее →
Решебник
глава 4 / задание / 224
Показать содержание
← Предыдущее
Следующее →
ГДЗ решение к заданию № 4.224 Алгебра 9 класс Арефьева И.Г. Народная асвета 2019 бесплатно на гдз.мода!