ОТВЕТ на задание № вариант 2 Дидактические материалы по Алгебре 9 класс Потапов МГУ - школе

Решебник 1

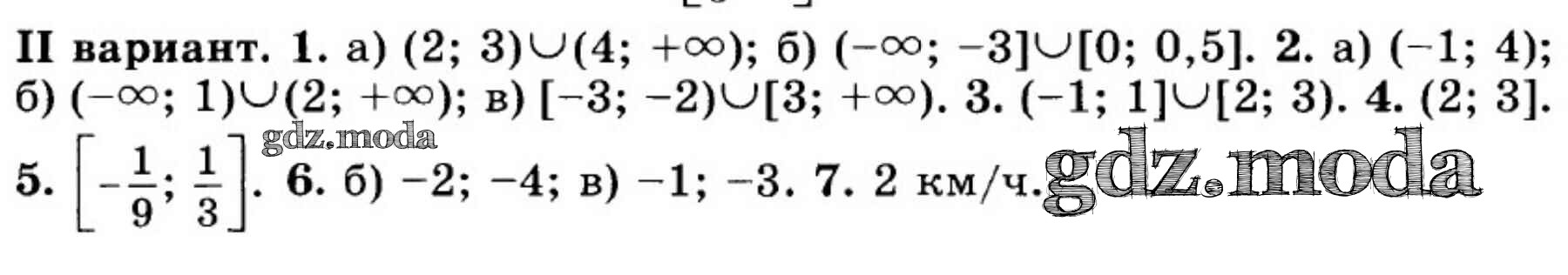
контрольная работа / кр №2 / вариант 2

Решебник 2

контрольная работа / кр №2 / вариант 2

Все ГДЗ по Алгебре 9 класс МГУ - школе

ГДЗ решение к заданию № вариант 2 Алгебра 9 класс дидактические материалы Потапов М.К. Просвещение 2010 ФГОС бесплатно на гдз.мода!