Классы
1 класс
2 класс
3 класс
4 класс
5 класс
6 класс
7 класс
8 класс
9 класс
10 класс
11 класс
Предметы
Алгебра
Английский язык
Белорусский язык
Биология
География
Геометрия
Естествознание
Информатика
Искусство
История
Кубановедение
Литература
Математика
Музыка
Немецкий язык
ОБЖ
Обществознание
Окружающий мир
Основы здоровья
Природоведение
Русский язык
Технология
Украинский язык
Физика
Французский язык
Химия
Человек и мир
Я исследую мир
ГДЗ
9 класс
Алгебра
учебник Дорофеев
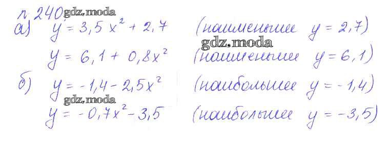
240
ОТВЕТ на задание № 240 Учебник по Алгебре 9 класс Дорофеев
Показать содержание
← Предыдущее
Следующее →
Решебник к учебнику 2019
упражнение / 240
Решебник к учебнику 2016
упражнение / 240
Показать содержание
← Предыдущее
Следующее →
ГДЗ решение к заданию № 240 Алгебра 9 класс Дорофеев Г.В. Просвещение, Просвещение 2016, 2019 ФГОС бесплатно на гдз.мода!