Классы
1 класс
2 класс
3 класс
4 класс
5 класс
6 класс
7 класс
8 класс
9 класс
10 класс
11 класс
Предметы
Алгебра
Английский язык
Белорусский язык
Биология
География
Геометрия
Естествознание
Информатика
Искусство
История
Кубановедение
Литература
Математика
Музыка
Немецкий язык
ОБЖ
Обществознание
Окружающий мир
Основы здоровья
Природоведение
Русский язык
Технология
Украинский язык
Физика
Французский язык
Химия
Человек и мир
Я исследую мир
ГДЗ
9 класс
Алгебра
самостоятельные и контрольные работы Глазков
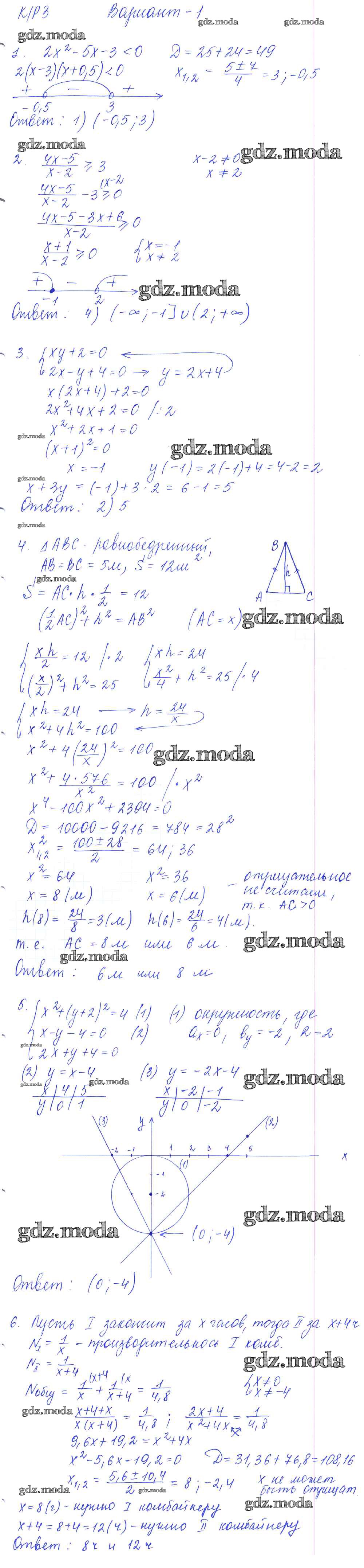
вариант 1
ОТВЕТ на задание № вариант 1 Самостоятельные и контрольные работы по Алгебре 9 класс Глазков УМК
Показать содержание
← Предыдущее
Следующее →
Решебник
контрольная работа / кр-3 / вариант 1
Показать содержание
← Предыдущее
Следующее →
Все ГДЗ по
Алгебре 9 класс УМК
ГДЗ решение к заданию № вариант 1 Алгебра 9 класс самостоятельные и контрольные работы Глазков Ю.А. (к уч. Макарычева) Экзамен 2013 ФГОС бесплатно на гдз.мода!