Классы
1 класс
2 класс
3 класс
4 класс
5 класс
6 класс
7 класс
8 класс
9 класс
10 класс
11 класс
Предметы
Алгебра
Английский язык
Белорусский язык
Биология
География
Геометрия
Естествознание
Информатика
Искусство
История
Кубановедение
Литература
Математика
Музыка
Немецкий язык
ОБЖ
Обществознание
Окружающий мир
Основы здоровья
Природоведение
Русский язык
Технология
Украинский язык
Физика
Французский язык
Химия
Человек и мир
Я исследую мир
ГДЗ
9 класс
Алгебра
учебник Колягин
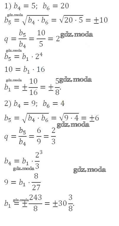
217
ОТВЕТ на задание № 217 Учебник по Алгебре 9 класс Колягин
Показать содержание
← Предыдущее
Следующее →
Решебник
упражнение / 217
Показать содержание
← Предыдущее
Следующее →
ГДЗ решение к заданию № 217 Алгебра 9 класс Колягин Ю.М. Просвещение 2015 ФГОС бесплатно на гдз.мода!