Классы
1 класс
2 класс
3 класс
4 класс
5 класс
6 класс
7 класс
8 класс
9 класс
10 класс
11 класс
Предметы
Алгебра
Английский язык
Белорусский язык
Биология
География
Геометрия
Естествознание
Информатика
Искусство
История
Кубановедение
Литература
Математика
Музыка
Немецкий язык
ОБЖ
Обществознание
Окружающий мир
Основы здоровья
Природоведение
Русский язык
Технология
Украинский язык
Физика
Французский язык
Химия
Человек и мир
Я исследую мир
ГДЗ
9 класс
Алгебра
учебник Колягин
28
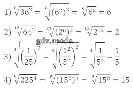
ОТВЕТ на задание № 28 Учебник по Алгебре 9 класс Колягин
Показать содержание
← Предыдущее
Следующее →
Решебник
упражнение / 28
Показать содержание
← Предыдущее
Следующее →
ГДЗ решение к заданию № 28 Алгебра 9 класс Колягин Ю.М. Просвещение 2015 ФГОС бесплатно на гдз.мода!