Классы
1 класс
2 класс
3 класс
4 класс
5 класс
6 класс
7 класс
8 класс
9 класс
10 класс
11 класс
Предметы
Алгебра
Английский язык
Белорусский язык
Биология
География
Геометрия
Естествознание
Информатика
Искусство
История
Кубановедение
Литература
Математика
Музыка
Немецкий язык
ОБЖ
Обществознание
Окружающий мир
Основы здоровья
Природоведение
Русский язык
Технология
Украинский язык
Физика
Французский язык
Химия
Человек и мир
Я исследую мир
ГДЗ
9 класс
Алгебра
контрольные работы Кузнецова
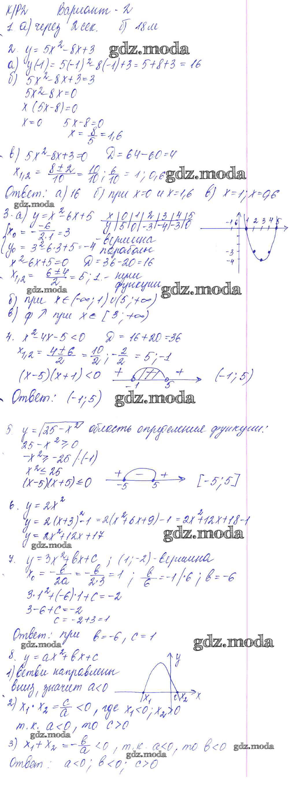
вариант №2
ОТВЕТ на задание № вариант №2 Контрольные работы по Алгебре 9 класс Кузнецова
Показать содержание
← Предыдущее
Следующее →
Решебник
кр-2 / вариант №2
Показать содержание
← Предыдущее
Следующее →
ГДЗ решение к заданию № вариант №2 Алгебра 9 класс контрольные работы Кузнецова Л.В. Просвещение 2016 ФГОС бесплатно на гдз.мода!