Классы
1 класс
2 класс
3 класс
4 класс
5 класс
6 класс
7 класс
8 класс
9 класс
10 класс
11 класс
Предметы
Алгебра
Английский язык
Белорусский язык
Биология
География
Геометрия
Естествознание
Информатика
Искусство
История
Кубановедение
Литература
Математика
Музыка
Немецкий язык
ОБЖ
Обществознание
Окружающий мир
Основы здоровья
Природоведение
Русский язык
Технология
Украинский язык
Физика
Французский язык
Химия
Человек и мир
Я исследую мир
ГДЗ
9 класс
Алгебра
Кузнецова
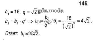
146
ОТВЕТ на задание № 146 Учебник по Алгебре 9 класс Кузнецова
Показать содержание
← Предыдущее
Следующее →
Решебник
повторение / 146
Показать содержание
← Предыдущее
Следующее →
ГДЗ решение к заданию № 146 Алгебра 9 класс Кузнецова Е.П. Народная асвета 2015 бесплатно на гдз.мода!