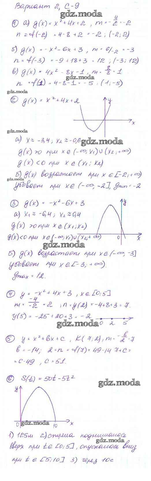
ОТВЕТ на задание № С-9 Дидактические материалы по Алгебре 9 класс Макарычев
Решебник
самостоятельная работа / вариант 2 / c-9
ГДЗ решение к заданию № С-9 Алгебра 9 класс Дидактические материалы Макарычев Ю.Н. Просвещение 2015 ФГОС бесплатно на гдз.мода!