Классы
1 класс
2 класс
3 класс
4 класс
5 класс
6 класс
7 класс
8 класс
9 класс
10 класс
11 класс
Предметы
Алгебра
Английский язык
Белорусский язык
Биология
География
Геометрия
Естествознание
Информатика
Искусство
История
Кубановедение
Литература
Математика
Музыка
Немецкий язык
ОБЖ
Обществознание
Окружающий мир
Основы здоровья
Природоведение
Русский язык
Технология
Украинский язык
Физика
Французский язык
Химия
Человек и мир
Я исследую мир
ГДЗ
9 класс
Алгебра
Макарычев, Миндюк
56
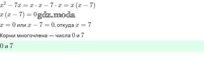
ОТВЕТ на задание № 56 Учебник по Алгебре 9 класс Макарычев
Показать содержание
← Предыдущее
Следующее →
Решебник 2014 №1
глава 1 / 56
Решебник 2014 №2
глава 1 / 56
Решебник 2021
глава 1 / 56
Показать содержание
← Предыдущее
Следующее →
ГДЗ решение к заданию № 56 Алгебра 9 класс Макарычев Ю.Н. Просвещение, Просвещение 2014, 2021 ФГОС бесплатно на гдз.мода!