Классы
1 класс
2 класс
3 класс
4 класс
5 класс
6 класс
7 класс
8 класс
9 класс
10 класс
11 класс
Предметы
Алгебра
Английский язык
Белорусский язык
Биология
География
Геометрия
Естествознание
Информатика
Искусство
История
Кубановедение
Литература
Математика
Музыка
Немецкий язык
ОБЖ
Обществознание
Окружающий мир
Основы здоровья
Природоведение
Русский язык
Технология
Украинский язык
Физика
Французский язык
Химия
Человек и мир
Я исследую мир
ГДЗ
9 класс
Алгебра
Макарычев, Миндюк
294
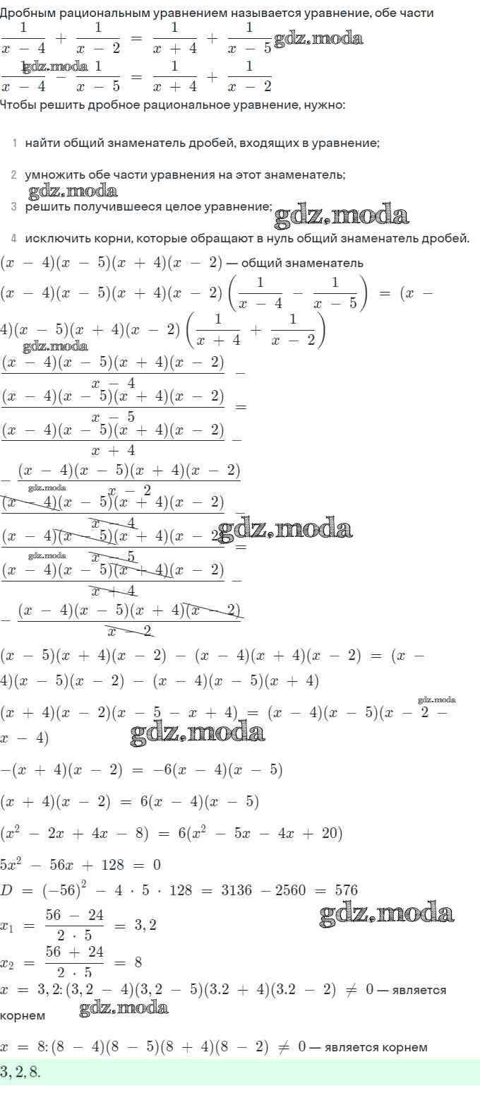
ОТВЕТ на задание № 294 Учебник по Алгебре 9 класс Макарычев
Показать содержание
← Предыдущее
Следующее →
Решебник
глава 2 / 294
Решебник №2
глава 2 / 294
Показать содержание
← Предыдущее
Следующее →
ГДЗ решение к заданию № 294 Алгебра 9 класс Макарычев Ю.Н. Просвещение 2014 ФГОС бесплатно на гдз.мода!