Классы
1 класс
2 класс
3 класс
4 класс
5 класс
6 класс
7 класс
8 класс
9 класс
10 класс
11 класс
Предметы
Алгебра
Английский язык
Белорусский язык
Биология
География
Геометрия
Естествознание
Информатика
Искусство
История
Кубановедение
Литература
Математика
Музыка
Немецкий язык
ОБЖ
Обществознание
Окружающий мир
Основы здоровья
Природоведение
Русский язык
Технология
Украинский язык
Физика
Французский язык
Химия
Человек и мир
Я исследую мир
ГДЗ
9 класс
Алгебра
Макарычев, Миндюк
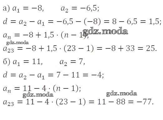
580
ОТВЕТ на задание № 580 Учебник по Алгебре 9 класс Макарычев
Показать содержание
← Предыдущее
Следующее →
Решебник 2014 №1
глава 4 / 580
Решебник 2014 №2
глава 4 / 580
Решебник 2021
глава 4 / 580
Показать содержание
← Предыдущее
Следующее →
ГДЗ решение к заданию № 580 Алгебра 9 класс Макарычев Ю.Н. Просвещение, Просвещение 2014, 2021 ФГОС бесплатно на гдз.мода!