ОТВЕТ на задание № 113 Учебник по Алгебре 9 класс Мерзляк Алгоритм успеха
Решебник №1 к учебнику 2016
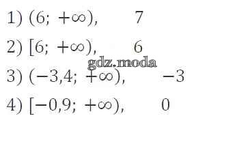
упражнение / 113

Решебник №3 к учебнику 2016
упражнение / 113

Все ГДЗ по Алгебре 9 класс Алгоритм успеха
Все ГДЗ по Алгебре 9 класс Алгоритм успеха