ОТВЕТ на задание № 117 Учебник по Алгебре 9 класс Мерзляк Алгоритм успеха
Решебник к учебнику 2021
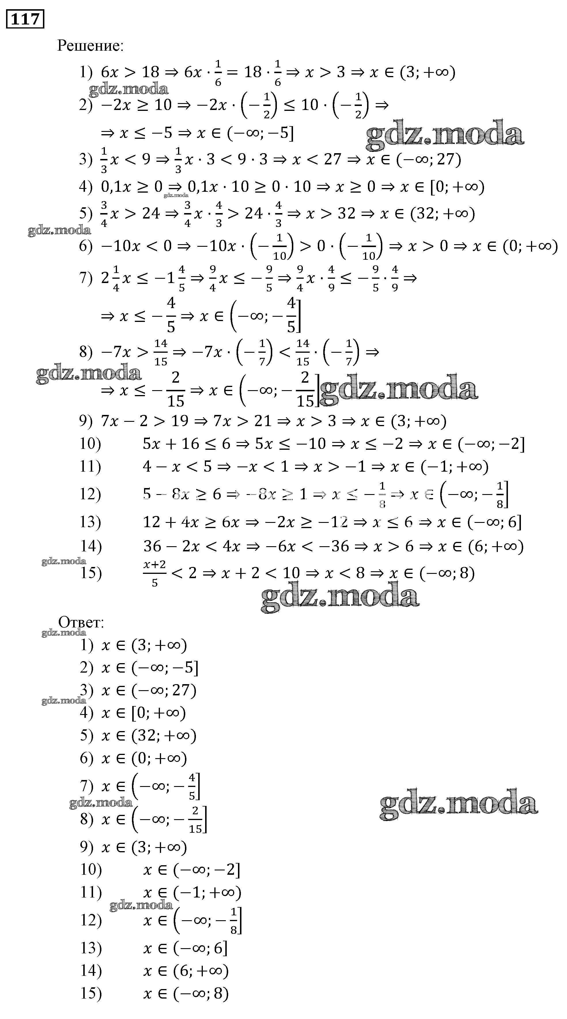
упражнение / 117

Решебник №1 к учебнику 2016
упражнение / 117

Решебник №3 к учебнику 2016
упражнение / 117

Все ГДЗ по Алгебре 9 класс Алгоритм успеха