ОТВЕТ на задание № 124 Учебник по Алгебре 9 класс Мерзляк Алгоритм успеха
Решебник №1 к учебнику 2016
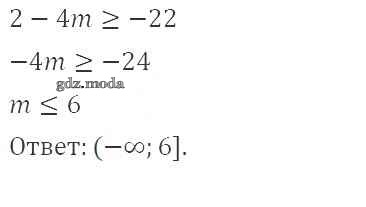
упражнение / 124

Решебник №3 к учебнику 2016
упражнение / 124

Все ГДЗ по Алгебре 9 класс Алгоритм успеха
Все ГДЗ по Алгебре 9 класс Алгоритм успеха